D
Reaction score
34

Latest activity Postings About

    • D
      DrM replied to the thread ADC tests for TCD1304DG.
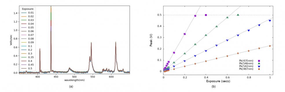
      I just noticed my earlier post #21, and there are a coupled of things that probably need to some correction or clarification. The first is that two important issues in working with the TCD1304 and any CCD sensor, are the following: 1)...
      • TCD1304_ND1200_LinearitySummary_1sec.jpg
    • D
      DrM replied to the thread Future Teensy features & pinout.
      A well supported WIFI with low overhead would be very useful. Another useful device would be GPS including precision timing. It is enabling for some applications in geology and oceanography.
    • D
      DrM replied to the thread Future Teensy features & pinout.
      Hopefully, it will always be an NXP chip for a while, and it will always have the 480MHz USB (or faster). The peripherals on the renesas are so far less appealing.
    • D
      Yes, it seems I keep missing the fine print. But I am not clear about how it would work. I think that is why I miss the fine print. Can we start the Quad Timer from the FlexPWM? And vice versa, can we start the FlexPWM from the Quad Timer?
    • D
      It seems like the linear CCD would need a combination of the FlexPWM and Quad Time and I am not sure that it is possible. In the following I connect ΦΜ, ICG and SH, to pins 4,5,6, all on FlexPWM2 submodules 0-2, all of that seems...
      • 1763922445842.png
      • 1763922495136.png
      • 1763922543694.png
      • 1763922846816.png
    • D
      Well.. the reason I asked, is that NXP's support engineer told me it can't be done, i.e. starting the SPI from the flexpwm without an ISR. We talked about this quite a bit and eventually I filed a support ticket to ask how to do it. That took...
    • D
      Wow, that would be fantastic. It is a really generic problem, just about every ADC and DAC that we might use needs this. I asked here and NXP and was told it is not possible. Can you please show an example using the flexpwm and SPI without...
    • D
      Could you please show an example how to cascade two FlexPWM without using an ISR? That would be sooo helpful. Thank you
    • D
      Hi everybody, apologies for the delay in responding. We were out of town and occupied. Per the request for a benchmarks for timing, see: Teensy 4.0/UNO R4 timing (github) This is code that I threw together to check timing. It outputs...
    • D
      Simple example, let's say we run the convert signal for an ADC from a FlexPWM submodule. How do you start the SPI 30 nsec after the trailing edge of each CNVST pulse? You can use an interrupt and setup the relative timing with other channel of...
    • D
      Why am I doing with this Teensy, you might ask. The project is to make open designs for high end instrumentation available and affordable. The collaborators in the designs are late career instrumentation physicists. We have had downloads by...
    • D
      Sure, easy, The timing for the gates for a CCD, the timing for an ADC, similarly a time to digital converter for photon tagging, and simply counting pulses from a PMT. The problem for the first two is partially resolved with the flexpw, it...
    • D
      I previously ran timing measurements for basic operations, set a pin, read and set, interrupt latency, etc. I tried it using a scope and then using the cycle counter. The two methods agree. It looks like in some instances the Teensy might be...
    • D
      I am happy it is not in that driver, and embarassed or course, but also a little dissapointed tha the culprit is still not found
    • D
      Probably yes, oops, sorry. We still have the mystery of what is effecting interrupt latencies. And the code that does use that instruction still ought to be fixed. If it is ever used, it will be disruptive.
    • D
      usb_serial.c, usb_serial.h ? That one looks okay actually.
    • D
      Okay great, it want clear. So where is it?
    • D
      Yes, atomic read and disable for an IRQ. Perfect. However, that too is not something that should be looped over. The solution for simple producer-consumer scenarios is still a flag, and only synchronize the flag.
    • D
      Paul has been pretty amazing about this. This one turns out to be pretty simple, I might take a look at it, or maybe Paul will get to it first. I have a very busy few days ahead of me. The other thing, it is the internals of the interrupt...
    • D
      @PaulStoffregen P/S I am assuming/guessing that that code is what is invoked for Serial.available().
    • D
      Good morning Paul, You are right. However, the problem is the same, but the synchronization technique needs to be a little different. Perhaps it is not needed, but to recap the problem, it is the following and in specfically when this is...
    • D
      P/S it occurs to me that if done properly, a lot of the cautions about what you can do in another isr, go away. It really is worthwhile to fix this.
    • D
      Super cool and really goog point, though what it might be used for in out case does not immediately come to mind. In our case, an ISR servicing the incoming serial data and loop() checking or retrieving it, we probably want to stay with the...
    • D
      I am still flabbergasted by that remark, i.e. that because Arduino is amateur, therefore Teensy should be a disfunctional hack and amateur, too. Thank G-d for our Cathredal and the team here that attends and contributes. A) That some of the...
    • D
      Hi Paul, The exclusive load and store are used to protect a single fixed address in normal memory, which is then used to protect whatever you want to protect. Think of it as functioning like a semaphore or mutex. In fact that is what it is...
    • D
      This got tacked onto another thread, I forgot how. Here is a summary of what is going on, or at least at seems to me: The problem is that interrupt latencies are unreliable on the platform. One very likely culprit is repeatedly globally...
    • D
      Okay, I am signing off for the night. This was super productive I think. We now have a clue.
    • D
      The trick is to design it so as to minimize the synchronizations and what is synchronized. But many of the tricks are not new. Generally, when something is incremented by only one thread, it might not need to be synchronized.
    • D
      yes, we crossed messages. I found it and the hander. It looks like the patch is pretty doable, just takes a little care and attention to detail. It is tricky though and quite easy to mess it up. We will have to think about it carefully...
    • D
      When we design a real time system, what interrupts may occur and when is part of the design. Having something that gratuitously and unnecessarily loops over disabling interrupts, will in many cases make it unnecessarily impossible to implement...
    • D
      So.... in HardwareSerial.cpp, it seems the RIE is set and interrupts are connected, and perhaps "irq_handler()" is the code at...
    • D
      Aha! Yes indeed that is it. A quick grep indicates that it is not referenced in the code. Does the driver use DMA instead? It is a little convoluted to find it and I think the text doesnt mention it. CTRL[RIE] (page 2928) enables...
    • D
      The code tree there is a file cores/teesy4/util/atomic.h. I think this is not used in the T4 code, but it is an interesting bit of history. It seems to be a carry over from the AVR which on quick perusal seems to lack exclusive store and...
    • D
      I think, not really. But I found something interesting in the processor reference manual in "49.6.1.7 LPUART Status Register (STAT)", the field labeled RXEDGIF. Am I reading that correctly? is that an interrupt on the start of recieving a...
    • D
      Perfect, thank you.
    • D
      That time delay is the problem. It also accounts for the jitter in interrupt latency that we discussed in another thread. And that is s severe limitation. You simply can't do hard real-time like that. We really aught to hunt all of these...
    • D
      Thank you
    • D
      No, it is not a proof, sadly. I have seen worse from vendors, in code and silicon and datasheets too. But back to the device at hand. So far the only interrupts that I notice in the documentation are for byte compares, and maybe i saw...
    • D
      Isn't there already a read until or read line ?
    • D
      That would be a super nice feature for the serial port.
    • D
      Got it! Eureka! There is a character match interrupt. Perfect. We interrupt on cr or lf. Here is an article https://community.nxp.com/t5/i-MX-RT-Crossover-MCUs/LPUART-eDMA-Efficient-asynch-reception-of-bursty-data-with-DMA/m-p/1642814
    • D
      @joepasquariello It is not immediately clear from the reference manual that there is a receive interrupt. But there seem to be example of code using it for our MCU, in the NXP community. If so, that would be pretty easy; receive character...
    • D
      Okay, checking the manual. I doubt it there is no way at all, but let's see.
    • D
      Well, the we respectfully disagree. I have already done exactly this umpteen times in other platforms. But maybe you are saying there is something in the existing code that presents and obstacle? It is not obvious. The only issue that...
    • D
      That is obviously not true as a general statement. It depends on what. Paul does it in delay.c, and he has TODO notes saying exactly that in EventResponder.c And that is part of why the atomic operations exist. Others would do it for...
    • D
      @joepasquariello Are you assuming that I am using one of the thread environments mentioned above? I am not, yet. Well sometimes you do need to use a delay, when the overhead for a timer and context switch is longer than the delay or you...
    • D
      Not true at all - if you do it the right way. And there are a few right ways to do it. This is not a good excuse for disabling interrupts where an atomic flag will do the job.
    • D
      P/S The teensy code does use LDREX/STREX in a few places. For example delay() calls micros() and micros() uses LDREXW and STREXW. And there is the occasional "TODO: use STREX to avoide interrupt disable" So I would like to add the...
    • D
      @joepasquariello What's wrong with this analysis? 1) main() loops over loop() and yield(). (Aside, what other threads are there apart from ISR's?) 2) If loop() calls Serial.available(), finds nothing and returns, then you are looping...
    • D
      Here, I think this might offer a good solution, still within the arduino frameword and without resorting a full blow rtos. The following are about implementing a spin lock in ARM7 and the NXP in particular...
  • Loading…
  • Loading…
Back
Top